تتحرك سيارة كتلتها 1600 بسرعة 12 5 ما طاقتها الحركية





تتحرك سيارة كتلتها 1600 Kg بسرعة 12 5 M S ما طاقتها الحركية ادعمني دوت كوم

تتحرك سيارة كتلتها 1600 Kg بسرعة 12 5 M S ما طاقتها الحركية ادعمني دوت كوم

تقويم الفصل الرابع الطاقة وحفظها ص 128 المصدر السعودي

تقويم الفصل الرابع الطاقة وحفظها ص 128 المصدر السعودي

تتحرك سيارة كتلتها 1600 بسرعة 12 5 ما طاقتها الحركية أوراق

تتحرك سيارة كتلتها 1600 بسرعة 12 5 ما طاقتها الحركية أوراق

تقويم الفصل الرابع الطاقة وحفظها ص 128 المصدر السعودي

تقويم الفصل الرابع الطاقة وحفظها ص 128 المصدر السعودي

فيزياء مسائل التقويم الأشكال المتعددة للطاقة 40 11 Youtube

فيزياء مسائل التقويم الأشكال المتعددة للطاقة 40 11 Youtube

تقويم الفصل الرابع الطاقة وحفظها ص 128 المصدر السعودي

تقويم الفصل الرابع الطاقة وحفظها ص 128 المصدر السعودي

تقويم الفصل الرابع الطاقة وحفظها ص 128 المصدر السعودي

كتلة خالد 45 Kg ويسير بسرعة 10 0 M S اوجد طاقته الحركية ادعمني دوت كوم

كتلة خالد 45 Kg ويسير بسرعة 10 0 M S اوجد طاقته الحركية ادعمني دوت كوم

تقويم الفصل الرابع الطاقة وحفظها ص 128 المصدر السعودي

تقويم الفصل الرابع الطاقة وحفظها ص 128 المصدر السعودي

تتحرك سيارة صغيرة كتلتها 725 Kg بسرعة 115 Km H في اتجاه الشرق عبر ادعمني دوت كوم

تتحرك سيارة صغيرة كتلتها 725 Kg بسرعة 115 Km H في اتجاه الشرق عبر ادعمني دوت كوم

تقويم الفصل الرابع الطاقة وحفظها ص 128 المصدر السعودي

تقويم الفصل الرابع الطاقة وحفظها ص 128 المصدر السعودي

تتحرك سيارة كتلتها 875 Kg في اتجاه الجنوب بسرعة 15 M S فتصطدم بسيارة اخرى كبيرة ادعمني دوت كوم

تتحرك سيارة كتلتها 875 Kg في اتجاه الجنوب بسرعة 15 M S فتصطدم بسيارة اخرى كبيرة ادعمني دوت كوم

حل أسئلة التقويم الفصل الرابع الطاقة وحفظها العلم نور

حل أسئلة التقويم الفصل الرابع الطاقة وحفظها العلم نور

حل أسئلة التقويم الفصل الرابع الطاقة وحفظها العلم نور

حل أسئلة التقويم الفصل الرابع الطاقة وحفظها العلم نور

تقويم الفصل الرابع الطاقة وحفظها ص 128 المصدر السعودي

تقويم الفصل الرابع الطاقة وحفظها ص 128 المصدر السعودي

التصادم اصطدمت سيارة كتلتها 2 00 103 Kg وسرعتها 12 0 M S بشجرة ادعمني دوت كوم

التصادم اصطدمت سيارة كتلتها 2 00 103 Kg وسرعتها 12 0 M S بشجرة ادعمني دوت كوم

حل أسئلة التقويم الفصل الرابع الطاقة وحفظها العلم نور

حل أسئلة التقويم الفصل الرابع الطاقة وحفظها العلم نور

تقويم الفصل الرابع الطاقة وحفظها ص 128 المصدر السعودي

تقويم الفصل الرابع الطاقة وحفظها ص 128 المصدر السعودي

تتحرك عربة صغيرة كتلتها 15 0 Kg بسرعة متجهة مقدارها 7 50 M S على مسار مست ادعمني دوت كوم

تتحرك عربة صغيرة كتلتها 15 0 Kg بسرعة متجهة مقدارها 7 50 M S على مسار مست ادعمني دوت كوم

حل أسئلة التقويم الفصل الرابع الطاقة وحفظها العلم نور

حل أسئلة التقويم الفصل الرابع الطاقة وحفظها العلم نور

ما مقدار الطاقة الحركية لسيارة سباق كتلتها 1525 Kg عندما تكون سرعتها 108 Km H الرسائل

ما مقدار الطاقة الحركية لسيارة سباق كتلتها 1525 Kg عندما تكون سرعتها 108 Km H الرسائل

ما الفرق بين طاقة حركة الكرة وهي على بعد ٢٠م عن المضرب عن طاقتها الحركية لحظة ارسالها علمني

ما الفرق بين طاقة حركة الكرة وهي على بعد ٢٠م عن المضرب عن طاقتها الحركية لحظة ارسالها علمني

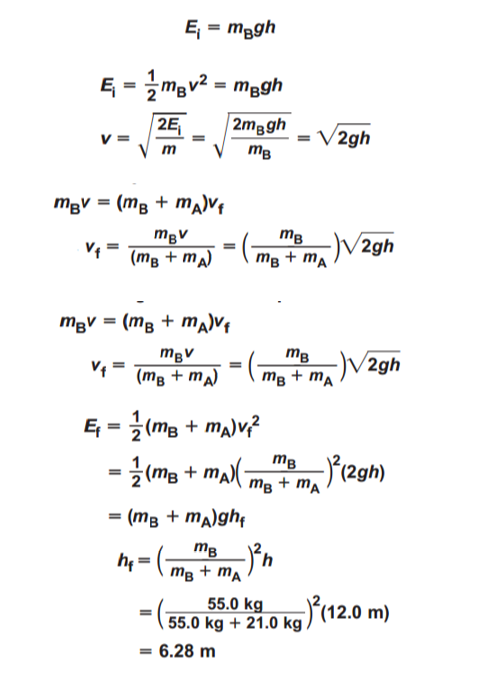
اي ارتفاع يجب ان تسقط منه سيارة صغيرة حتى يكون لها الطاقة الحركية نفسها عندما تسير بسرعة 1 00 102 Km H ادعمني دوت كوم

اي ارتفاع يجب ان تسقط منه سيارة صغيرة حتى يكون لها الطاقة الحركية نفسها عندما تسير بسرعة 1 00 102 Km H ادعمني دوت كوم

تقويم الفصل الرابع الطاقة وحفظها ص 128 المصدر السعودي

تقويم الفصل الرابع الطاقة وحفظها ص 128 المصدر السعودي

حل أسئلة التقويم الفصل الرابع الطاقة وحفظها العلم نور

حل أسئلة التقويم الفصل الرابع الطاقة وحفظها العلم نور

تتحرك سيارة كتلتها 875 Kg في اتجاه الجنوب بسرعة 15 M S فتصطدم بسيارة اخرى كبيرة ادعمني دوت كوم

تتحرك سيارة كتلتها 875 Kg في اتجاه الجنوب بسرعة 15 M S فتصطدم بسيارة اخرى كبيرة ادعمني دوت كوم

استنتج اذا كانت سيارة تتحرك بسرعة ثابتة المقدار فهل يلزم ان تكون واقعة تحت تأثير قوى متزنة علمني

استنتج اذا كانت سيارة تتحرك بسرعة ثابتة المقدار فهل يلزم ان تكون واقعة تحت تأثير قوى متزنة علمني

حل أسئلة التقويم الفصل الرابع الطاقة وحفظها العلم نور

حل أسئلة التقويم الفصل الرابع الطاقة وحفظها العلم نور

تقويم الفصل الرابع الطاقة وحفظها ص 128 المصدر السعودي

تقويم الفصل الرابع الطاقة وحفظها ص 128 المصدر السعودي

هل يختلف زخم سيارة تتحرك جنوبا شبكة خبر

هل يختلف زخم سيارة تتحرك جنوبا شبكة خبر

تحركت سيارة كتلتها 750 Kg بسرعة 23 M S ثم توقفت بالضغط على المكابح ادعمني دوت كوم

تحركت سيارة كتلتها 750 Kg بسرعة 23 M S ثم توقفت بالضغط على المكابح ادعمني دوت كوم

Source : pinterest.com